|
Cryptography: Theory and Practice
by Douglas Stinson CRC Press, CRC Press LLC ISBN: 0849385210 Pub Date: 03/17/95 |
| Previous | Table of Contents | Next |
On May 15, 1973, the National Bureau of Standards published a solicitation for cryptosystems in the Federal Register. This lead ultimately to the development of the Data Encryption Standard, or DES, which has become the most widely used cryptosystem in the world. DES was developed at IBM, as a modification of an earlier system known as LUCIFER. DES was first published in the Federal Register of March 17, 1975. After a considerable amount of public discussion, DES was adopted as a standard for unclassified applications on January 15, 1977. DES has been reviewed by the National Bureau of Standards (approximately) every five years since its adoption. Its most recent renewal was in January 1994, when it was renewed until 1998. It is anticipated that it will not remain a standard past 1998.
A complete description of DES is given in the Federal Information Processing Standards Publication 46, dated January 15, 1977. DES encrypts a plaintext bitstring x of length 64 using a key K which is a bitstring of length 56, obtaining a ciphertext bitstring which is again a bitstring of length 64. We first give a high-level description of the system.
The algorithm proceeds in three stages:
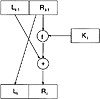
Figure 3.1 One round of DES encryption
1 ≤ i ≤ 16, according to the following rule:

where ⊕ denotes the exclusive-or of two bitstrings. f is a function that we will describe later, and K1, K2, . . . , K16 are each bitstrings of length 48 computed as a function of the key K. (Actually, each Ki is a permuted selection of bits from K.) K1, K2, . . . , K16 comprises the key schedule. One round of encryption is depicted in Figure 3.1
The function f takes as input a first argument A, which is a bitstring of length 32, and a second argument J that is a bitstring of length 48, and produces as output a bitstring of length 32. The following steps are executed.
Figure 3.2 The DES f function
The f function is depicted in Figure 3.2. Basically, it consists of a substitution (using an S-box) followed by the (fixed) permutation P. The 16 iterations of f comprise a product cryptosystem, as described in Section 2.5.
| Previous | Table of Contents | Next |