|
Cryptography: Theory and Practice
by Douglas Stinson CRC Press, CRC Press LLC ISBN: 0849385210 Pub Date: 03/17/95 |
| Previous | Table of Contents | Next |
As above, we suppose that we have a network of n users. For convenience, we suppose that keys are chosen from a finite field
, where p ≥ n is prime. Let k be an integer, 1 ≥ k ≥ n - 2. The value k is the largest size coalition against which the scheme will remain secure. In the Blom Scheme, the TA will transmit k + 1 elements of
to each user over a secure channel (as opposed to n - 1 in the basic key predistribution scheme). Each pair of users, U and V, will be able to compute a key KU,V = KV,U, as before. The security condition is as follows: any set of at most k users disjoint from {U, V} must be unable to determine any information about KU,V (note that we are speaking here about unconditional security).
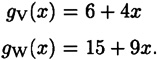
We first present the special case of Bloms scheme where k = 1. Here, the TA will transmit two elements of
to each user over a secure channel, and any individual user W will be unable to determine any information about KU,V if W ≠ U, V. Bloms scheme is presented in Figure 8.1. We illustrate the Blom Scheme with k = 1 in the following example.
Example 8.1
Suppose the three users are U, V and W, p = 17, and their public elements are rU = 12, rV = 7 and rW = 1. Suppose that the TA chooses a = 8, b = 7 and c = 2, so the polynomial f is

The g polynomials are as follows:

Figure 8.1 Blom Key Distribution Scheme (k = 1)

The three keys are thus

U would compute KU,V as

V would compute KU,V as

We leave the computation of the other keys as an exercise for the reader.
We now prove that no one user can determine any information about the key of two other users.
THEOREM 8.1
The Blom Scheme with k = 1 is unconditionally secure against any individual user.
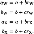
PROOF Lets suppose that user W wants to try to compute the key

The values rU and rV are public, but a, b and c are unknown. W does know the values

and

since these are the coefficients of the polynomial gW (x) that was sent to W by the TA.
What we will do is show that the information known by W is consistent with any possible value
of the key KU,V. Hence, W cannot rule out any values for KU,V. Consider the following matrix equation (in
):

The first equation represents the hypothesis that
; the second and third equations contain the information that W knows about a, b and c from gW (x).
The determinant of the coefficient matrix is

where all arithmetic is done in
. Since rW ≠ rU and rW ≠ rV, it follows that the coefficient matrix has non-zero determinant, and hence the matrix equation has a unique solution for a, b, c. In other words, any possible value
of KU,V is consistent with the information known to W.
On the other hand, a coalition of two users, say {W, X}, will be able to determine any key KU,V where
W and X together know that

Thus they have four equations in three unknowns, and they can easily compute a unique solution for a, b and c. Once they know a, b and c, they can form the polynomial f(x, y) and compute any key they wish.
It is straightforward to generalize the scheme to remain secure against coalitions of size k. The only thing that changes is step 2. The TA will use a polynomial f(x, y) having the form

where
, and ai.j = aj,i for all i, j. The remainder of the protocol is unchanged.
In this section, we describe a key predistribution scheme that is a modification of the well-known Diffie-Hellman key exchange protocol that we will discuss a bit later, in Section 8.4. We call this the Diffie-Hellman Key Predistribution Scheme. The scheme is computationally secure provided a problem related to the Discrete Logarithm problem is intractible.
We will describe the scheme over
, where p is prime, though it can be implemented in any finite group in which the Discrete Logarithm problem is intractible. We will assume that a is a primitive element of
, and that the values p and α are publicly known to everyone in the network.
In this scheme, ID(U) will denote certain identification information for each user U in the network, e.g., his or her name, e-mail address, telephone number, or other relevant information. Also, each user U has a secret exponent aU (where 0 ≤ aU ≤ p - 2), and a corresponding public value

The TA will have a signature scheme with a (public) verification algorithm verTA and a secret signing algorithm sigTA. Finally, we will implicitly assume that all information is hashed, using a public hash function, before it is signed. To make the procedures easier to read, we will not include the necessary hashing in the description of the protocols.
Certain information pertaining to a user U will be authenticated by means of a certificate which is issued and signed by the TA. Each user U will have a certificate

where bU is formed as described above (note that the TA does not need to know the value of aU). A certificate for a user U will be issued when U joins the network. Certificates can be stored in a public database, or each user can store his or her own certificate. The signature of the TA on a certificate allows anyone in the network to verify the information it contains.
It is very easy for U and V to compute the common key

as shown in Figure 8.2.
| Previous | Table of Contents | Next |